Ученые спорят, похожа ли математическая красота на художественную и можно ли найти отдел человеческого мозга, отвечающий за ее восприятие
Совместное исследование нейробиологов и математиков показало, что восприятие красивых математических формул затрагивает тот же отдел мозга, что и восприятие живописи и музыки. Эта работа стала одной из первых попыток разобраться с понятием математической красоты с помощью строгого научного метода. Однако, знаменитый американский специалист в области алгебраической геометрии Дэвид Мамфорд считает, что красота математических рассуждений слишком сложна и многогранна, чтобы точно указать в мозгу центр, отвечающий за ее восприятие.
Красота и подброшенная монетка
Однажды у петербургского математика, известного специалиста в области динамических систем Анатолия Вершика брали интервью для телевидения. Корреспондент попросил написать на доске какую-нибудь красивую формулу – для фона. Вершик написал формулировку Большой эргодической теоремы – широкого обобщения закона больших чисел.

Основная часть формулировки Большой эргодической теоремы (она же теорема Биркгофа – Хинчина)
Этот закон объясняет, что суммарный эффект большого числа случайных событий мало зависит от исхода каждого отдельного из них. Молекулы воздуха движутся хаотично, но они вдруг не разлетятся вокруг вас в разные стороны, и вы не задохнетесь. Единожды подброшенная монета может выпасть орлом или решкой – это случайность, но если подбросить монету сто, тысячу, миллион раз, число выпадений орла и решки окажутся почти равными – случайность пасует перед количеством. Вообще говоря, именно благодаря закону больших чисел мы можем изучать явления нашего мира, не отвлекаясь на его хаотическую сущность, благодаря ему мы можем с уверенностью делать вывод о большом на основе малого. Это удивительный случай, когда математика явно обнажает фундаментальное устройства природы – красота эргодической теоремы определяется, конечно, этим, а не симпатичными греческими буквами “фи”, “мю” и “сигма” в ее формулировке.
Красота и мозг

Первая часть формул из эксперимента Атьи и Зеки
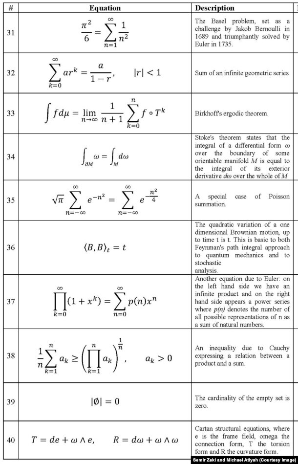
“Математика, если правильно на нее посмотреть, несет не только правду, но и высшую красоту”, – писал философ Бертран Рассел в работе “Мистицизм и логика” в 1918 году. О красоте математического рассуждения, теоремы и даже определения, наверное, хотя бы раз в жизни задумывался любой исследователь, использующий математику в своей работе. Но насколько эта категория универсальна, даже среди самих математиков? Можно ли сравнить понятие о прекрасном в этой точной науке с красотой в поэзии, музыке, изобразительном искусстве? В начале 2014 года в журнале Frontiers in Humann Neuroscience была опубликована статья группы авторов, ключевыми из которых были британский нейробиолог Семир Зеки и британский математик Майкл Атья. Зеки прославился работами, связывающими чувственное восприятие с конкретными областями в мозгу, на протяжении своей карьеры он поставил множество экспериментов над приматами и людьми, в которых искал корреляции между опытом любви, красоты и ненависти с работой тех или иных отделов мозга. Майкл Атья – лауреат обеих крупнейших в математике Филдсовской и Абелевской премий, известен в первую очередь работами в области алгебраической топологии, в частности, созданием K-теории.

Вторая часть формул из эксперимента Атьи и Зеки
Эти заслуженные специалисты в очень далеких друг от друга научных направлениях встретились, чтобы попробовать подступиться к математической красоте с помощью строгого научного подхода. В 2004 году Зеки опубликовал работу, в которой обсуждалась физиологическая подоплека опыта восприятия изобразительного искусства. В том опыте группе испытуемых было предложено оценить 300 картин по шкале “прекрасная – нейтральная – уродливая”. Затем участникам опыта демонстрировали те же полотна, а происходящие в их мозгу процессы параллельно отслеживали с помощью магнитно-резонансной томографии. Оказалось, разница в реакции на красивые и отвратительные изображения особенно заметна в отделе мозга, называющемся медиальная орбитофронтальная кора – мОФК (это часть коры головного мозга, находящаяся примерно за глазами и завернутая “внутрь”). Научные данные о конкретных функциях тех или иных участков мозга далеко не полны, но другие исследования связывают орбитофронтальную кору с контролем импульсов (ее повреждения могут привести, например, к агрессии и сексуальной распущенности), а также за представление ценности вознаграждения на основе сенсорной информации. Можно ли сказать, что Зеки открыл в мозге “центр красоты”? Вряд ли, да и сам нейробиолог этого совсем не утверждает: он лишь говорит, что между восприятием прекрасного изобразительного искусства и работой мОФК наблюдается определенная корреляция.
Через девять лет после этого эксперимента, в 2011 году, Семир Зеки опубликовал еще одну работу – на этот раз он изучал восприятие музыки. И тут важнейшую роль, как показал опыт, играет отдел оМФК. К концу 2013 года Зеки и Майкл Атья задались вопросом: не связано ли и восприятие математической красоты с тем же отделом мозга? Новый опыт во многом повторял эксперименты 2004 и 2011 годов: 15 молодым математикам показали 60 формул – в списке были и знаменитые теоремы, и фундаментальные тождества и определения. Сначала испытуемые поставили каждой из них оценку по шкале от –5 (уродливая) до +5 (прекрасная). Спустя 2-3 недели им снова продемонстрировали все 60 формул одну за другой, но в другом порядке, параллельно наблюдая за функциональной магнитно-резонансной томограммой. Исследователи также попросили участников опыта оценить понятность каждой формулы – чтобы затем статистически разобраться с ловушкой “красиво – то, что понятно”.

Третья часть формул из эксперимента Атьи и Зеки
Скорее любопытными, чем существенными с научной точки зрения оказались результаты субъективной оценки красоты формул из списка. Лучшую среднюю оценку (3,375) с заметным отрывом от других получила формула Эйлера, номер 1 в списке, связывающая самые важные математические константы: 0, 1, e, Pi, корень из минус единицы и три действия – сложение, умножение и возведение в степень, причем каждая константа и каждое действие участвуют в формуле только один раз. Действительно, это выражение в элементарном виде связывает чрезвычайно далекие на первый взгляд области математики; легко предположить, что формула Эйлера была бы названа самым красивым математическим тождеством и при глобальном опросе. Самой уродливой, опять же, с большим отрывом от остальных (средний балл –1,687), оказалась формула Рамануджана (номер 14 в списке) для разложения в ряд 1/Pi – в списке не было более громоздкого и несимметричного выражения. В то же время, эта внешне уродливая формула чрезвычайно полезна для инженеров – с ее помощью можно быстро получать приближенные значения числа Pi. Даже первый член ряда (для k=1) дает значение Pi с точностью до шестого знака после запятой. Можно найти в тождестве Рамануджана и абстрактную красоту – она связывает фундаментальную константу, описывающую свойства правильной окружности, с чрезвычайно прихотливо выбранными числами – 9801, 1103, 396 и 26390. Почему именно они дают возможность вычислить Pi? Чем хуже какие-нибудь другие числа, например, условные 1110, 47569, 7890 и 515? В несимметричности устройства природы тоже легко обнаружить прекрасное.
А вот значимым результатом опыта оказалось подтверждение гипотезы – различие в восприятии красивых формул по сравнению с уродливыми и нейтральными отражалось в первую очередь (хотя и не исключительно) в работе той же зоны мозга, медиальной орбитофронтальной коры, что и восприятие художественной красоты в эксперименте десятилетней давности. Значит ли это, что математическая и художественная красота влияют на нас схожим образом, что у этого чувственного опыта одинаковая физиологическая подоплека? Видимо, отчасти это верно. С другой стороны, низкий балл формулы Рамануджана говорит о том, что как минимум отчасти при оценке учитывались внешние характеристики записи выражения – его краткость и симметричность. Естественно, что такое восприятие красоты очень похоже на восприятие художественного полотна и задействует те же участки мозга.
Красота и математические племена
А как быть с той стороной математической красоты, которая определила выбор Анатолия Вершика, – с изяществом, глубиной и проникновением в подлинную суть природы? В середине октября американский математик Дэвид Мамфорд, как и Майкл Атья, лауреат "математического Нобеля", Филдсовской медали, ответил на статью Зеки и Атьи пространным эссе “Математика, красота и отделы мозга”. Мамфорд подчеркивает, что его рассуждения основаны не на строгом научном методе, а на собственном богатом опыте и общении с крупнейшими математическими мыслителями 20-го и 21-го века. Мамфорд предлагает разделить математиков на четыре группы (или “племени”) по тому, что движет ими в исследовательской работе – “в путешествии по эзотерическому миру”, как формулирует автор. Эти группы – Первооткрыватели, Алхимики, Борцы и Детективы.

Четвертая часть формул из эксперимента Атьи и Зеки
К Первооткрывателям американский ученый относит исследователей, которые, подобно путешественникам прошлого, исследуют малоизведанные математические континенты и открывают новые материки. Среди Первооткрывателей Мамфорд выделяет Собирателей драгоценных камней, для которых важнее всего найти новый математический объект, и Картографов, которые прокладывают на новых землях маршруты, по которым вслед за Первооткрывателями пройдут другие ученые.
К числу первооткрывателей относятся, например, античные математики, когда-то нашедшие все правильные многогранники – трехмерные многогранники, каждая грань которых – правильный многоугольник, а в каждой вершине сходится одинаковое число ребер. Таких многогранников существует только пять – тетраэдр, октаэдр, икосаэдр, куб и додекаэдр. По всей видимости, три из них были известны еще Пифагору, но еще два, октаэдр и икосаэдр, были открыты Таэтетом Афинским только 100 лет спустя. Как могло быть сделано такое открытие? Наитие, фантазия, пространственное воображение, озарение – вот главные инструменты Первооткрывателей, которых среди математиков много и сегодня. Конечно же, не все из них геометры, так, Дэвид Мамфорт упоминает американского математика Майка Артина, построившего теорию так называемых некоммутативных колец – абстрактных математических структур, в которых объекты можно складывать и перемножать, но x умножить на y не обязательно равно y умножить на x. Вряд ли сам Артин мог бы рассказать, как ему удалось наткнуться на этот богатейший математический материк, но воображение, способность представлять себе геометрические фигуры, свойственная многим Первооткрывателям, вряд ли сыграла здесь роль. Согласно апокрифу, когда алгебраиста Ирвина Каплански спросили, что он видит, когда думает о кольце (ring), он ответил: “Я вижу букву R”, то есть стандартное обозначение кольца в математической записи.
Мамфорд отмечает, что из 60 формул исследования Зеки и Атьи только три (с номерами 12, 15 и 28), так или иначе, имели отношение к открытиям Первооткрывателей. Но разве мало красоты в способности человека к озарению – и имеет ли эта красота отношение к визуальному восприятию прекрасного?

Пятая часть формул из эксперимента Атьи и Зеки
Второе математическое племя – Алхимики. Источник их вдохновения – скрытые связи между различными математическими областями. Обнаружение таких связей, похоже, по словам Мамфорда, “как если бы мы налили содержимое одной мензурки в другую и получили бы что-то удивительное, подобное взрыву”. Алхимической можно назвать связь между трисекцией угла и поиском корней многочлена третьей степени, найденную в эпоху Возрождения. Связывающая e, Pi и корень из минус единицы формула Эйлера – тоже, безусловно, алхимическая. Но и формула Рамануджана, в которой Pi выражено через несколько чисел, могла быть придумана только Алхимиком. Красота математической алхимии – в обнажении общности законов природы, она как раз того рода, что заставила сделать свой выбор Анатолия Вершика.
Третья группа – Борцы. Хотя математика точная наука, в ней слишком много объектов и величин, которые мы можем оценить, только сравнивая друг с другом. Хлеб Борцов – сравнения, асимптотические приближения, приближенные оценки. Характерным плодом Борца в списке Зеки – Атьи является формула Стирлинга для факториала (номер 41 в списке). Факториал натурального числа N – это произведение всех чисел от 1 до N. Такая функция повсеместно встречается в математике – от комбинаторики и теории вероятностей, где факториалы позволяют подсчитывать число событий определенного рода, до анализа, где они возникают, например, при разложении в ряд. Но факториалы неудобны, математикам куда проще обращаться с показательными функциями и экспонентами и перейти от одного к другому позволяет – пусть и асимптотически – как раз формула Стирлинга. “Важно осознавать, что за пределами чистой математики именно неравенства играют центральную роль в экономике, компьютерных науках, статистике, теории игр и исследовании операций. Возможно, обсессия тождествами – аберрация, уникальная для специалистов в чистой математике, – тогда как реальный мир управляется неравенствами”, – пишет Мамфорд. Математическая красота, которой добиваются Борцы, – не в последнюю очередь красота способности математики сложить людям на практике, в которой этой точной науке так часто наивно отказывают.
Обычное состояние математика – находиться в тупике
Наконец, последние – Детективы. Это люди, цель которых – раскрыть большое дело, найти решение какой-то особенно важной и глубокой задачи. Они повсюду ищут улики, они могут вскрыть в комнате паркет, надеясь найти под ним другой уровень объяснения. Они пользуются плодами Первооткрывателей, Алхимиков и Борцов, но ради своей собственной цели. И продвижение дается дорого: “Обычное состояние математика – находиться в тупике”, – говорил американский математик Питер Сарнак. Типичный детектив – Эндрю Уайлз, доказавший не поддававшуюся никому три с половиной века Большую теорему Ферма (номер 58 в списке). Еще один Детектив – Григорий Перельман, за несколько лет аскетического затворничества разобравшийся с гипотезой Пуанкаре. Именно такие люди становятся образцами для массового архетипа математика – гении, посвятившие себя решению абстрактной головоломки. И даже если путь к доказательству не обязательно окажется изящным, подвиг их разума, нашедшего выход из вечного тупика, красив особой красотой, не похожей на красоту открытий остальных математических племен.

Шестая часть формул из эксперимента Атьи и Зеки
Мамфорд отмечает, что для каждой из четырех групп – Первооткрывателей, Алхимиков, Борцов и Детективов можно подобрать отдел мозга, наиболее соответствующий их методам, и это будут разные участки мозга, а не одна только медиальная орбитофронтальная кора. Но даже такая попытка описать физиологическую основу математической красоты – спекуляция. “Предвидение нового абстрактного мира, раскрытие новых тайн, построение глобальных иерархий и решение сложнейших головоломок – вот четыре аспекта математики, которые ученые находят наиболее красивыми, – заключает Дэвид Мамфорд. – Но каждый из этих характерных видов красоты связан с различными видами ментальной деятельности. Можно ли надеяться связать каждую из них с конкретной зоной мозга?” Действительно, исследование Зеки и Атьи, основанное на достаточно ограниченном эксперименте, доказывает лишь то, что восприятие математической красоты в одном из ее аспектов в чем-то похоже на восприятие каких-то граней художественной или музыкальной красоты.
***
Но есть ли что-то в математической красоте, объединяющее все ее ипостаси, описанные Мамфордом, и фундаментально отличающее ее от других видов прекрасного (а может, наоборот – связывающее с ними)? “Платон считал математическую красоту высшей формой прекрасного, – пишут Семир Зеки и Майкл Атья, – ведь она происходит из чистого разума и связана с вечной и неизменной истиной”.
Именно те правила, которые кажутся интересными математику, и выбрала природа
Анатолий Вершик написал на доске формулировку Большой эргодической теоремы, потому что она, плод чистого разума, описывает глубинное устройство природы. “Математик играет в игру, правила для которой он выдумывает сам, физик играет игру по правилам, которые даны природой, – писал один из создателей квантовой механики, Нобелевский лауреат Поль Дирак в 1939 году. – Но со временем становится все более очевидно, что именно те правила, которые кажутся интересными математику, и выбрала природа”. Красота математики – в способности увидеть истинную суть вещей. Пожалуй, это относится к любой красоте.
Комментариев нет:
Отправить комментарий